KJC Medicinal Garden

Kallu shunti
Zingiber zerumbet


Order: Zingiberales
Family: Zingiberaceae
Genus: Zingiber
Species: Z.zerumbet
Common Names: Lempoyang, Ghatian, Yaiimu, Jangli adha
Native to India & Malaysian Peninsula

Other plants of the same genus with medicinal properties

    Z.officinale (Ginger)
    Z.cernwn
    Z.ottensi
    Z.montanum
Morphology:
  • Stem: Approximately 1-2 m tall, which are erect, oblique, round and covered by sheaths of flat leaves.
  • Leaves : They grow from a thick rhizome or underground stem.
  • Sheets : They are thin and are approximately 25–35 cm long, with a central raised midrib which strongly raised on the lower surface, the sheets are arranged alternately along the stem.
  • Inflorescence : which is green when young, becomes red when old and reaches 6–12 cm in height. It is supported on a separate pseudostem from the leaves by a narrow overlap that forms an open pouch, from which the flowers arise.
  • Yarn is connected to a long curved beak.
  • Fruit : white, glabrous, thin-walled and is approximately 1.5 cm long.
  • The seeds are ellipsoids and black.
  • The rhizome is perennial, thick, aromatic and yellow.

Uses in Tradition systems of medicine

  • • Used in Ayurveda and Unani
  • • The rhizome of ginger has been extensively used with remarkable therapeutic effects for the treatment of inflammation, diarrhea, stomach cramps, bacterial infections, fever, flatulence, allergies and poisoning.
  • • Powdered rhizome is used to treat ear infections, toothache and, in the form of tea, to treat stomach disease .
  • • The leaves are also used in therapies for joint pain.
  • • The juice of cooked rhizome was reported to be effective in combating worms in children. The creamy substance present in the mature inflorescence, is rich in surfactants and serves as a natural shampoo.
Nutritional Properties
  • Vitamin C content (1.05 mg/100 g).
  • Minerals- potassium (max. 737.21 mg/100 g), calcium (max. 140.15 mg/100 g), and iron (~0.32 mg/100 g).
  • Low in fat content (<1%), which contributed as little as 30% of the total caloric energy.
  • Highest antioxidant activity (~5.38 mg TEAC/g extract)

Suggested Medicinal Properties

  • Anti-inflammatory
  • Antioxidant
  • Antidiabetic
  • Anticancer
  • Antimicrobial
  • Analgesic
  • Antiviral
  • Gastroprotective

Active Phytochemicals

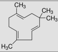
1. Zerumbone
Zerumbone is a sesquiterpene that is abundantly found in the rhizomes of shampoo ginger (Zingiber zerumbet). Many pharmacological activities have been reported including antitumor and immunomodulatory activities. Zerumbone was found to possess immunomodulatory activity via modulation of MAPK and NFкB pathways as well as cytokines production . The immunomodulatory activities of this compound is due to the existence of α,β-unsaturated carbonyl based moiety in its structure . Potent immunosuppressive effects of zerumbone were evidenced by several investigations. The compound was revealed to suppress various inflammatory mediators mainly NO production, COX2, PGE2, and iNOS expression in RAW264.7 macrophages . Moreover, this potent immunomodulator has been extensively studied for its wide range of anticancer effects. Various in vitro and in vivo studies on various cancer cell lines and animal models revealed zerumbone as a potential anticancer agent. It has been extensively investigated for antitumor, anti-proliferative and apoptotic activity. It was evidenced that zerumbone could inhibit tumor growth in Raji cells and significantly able to enhance anti-proliferation and apoptosis in HepG2 cells. Besides, zerumbone has been reported as anticancer potential for various arrays of cancers including breast cancer, blood cancer, liver cancer, lung cancer, cervical cancer, colon cancer, prostate cancer, pancreatic cancer, and skin cancer.

2. Humulene
Humulene is the characteristic terpene of hops, Humulus lupulus, but it is also found in cannabis, sage, and ginseng. Humulene, also known as α-caryophyllene, is a ring-opened isomer of β-caryophyllene, which is notably lacking in CB2 activity. Nonetheless, it also possesses powerful anti-inflammatory activity equal to dexamethasone in an animal model . Humulene possesses both topical and systemic anti-inflammatory properties and is an effective analgesic when taken topically, orally, or by aerosol. Humulene can produce ROS, leading to an antineoplastic effect by inducing apoptosis; although at moderate levels, ROS can increase tumor growth. β-Caryophyllene was synergistic with humulene in one study . Interestingly, humulene was shown to increase secretion of IL-8, a chemokine with various functions, including promoting angiogenesis, helpful in wound healing but not typically associated with anticancer compounds .

3. α-pinene
4. Camphor
5. Linalool
6. Limonene
7. β-caryophyllene
8. Humulene epoxide I , II and III
9. Humulenol I and II
10. Caryophyllene oxide
11. Flavonoids

References

Department of Pharmaceutical Sciences, Universidade Estadual de Ponta Grossa, Ponta Grossa, PR, Brazil

Front. Nutr., 01 February 2018 | https://doi.org/10.3389/fnut.2018.00003